Все новости
Новости
8 Октября 2025, 14:43

В Башкирии временно прекратят телевещание

Это связано с профилактическими работами.

В Башкирии временно прекратят телевещание
В Башкирии временно прекратят телевещание

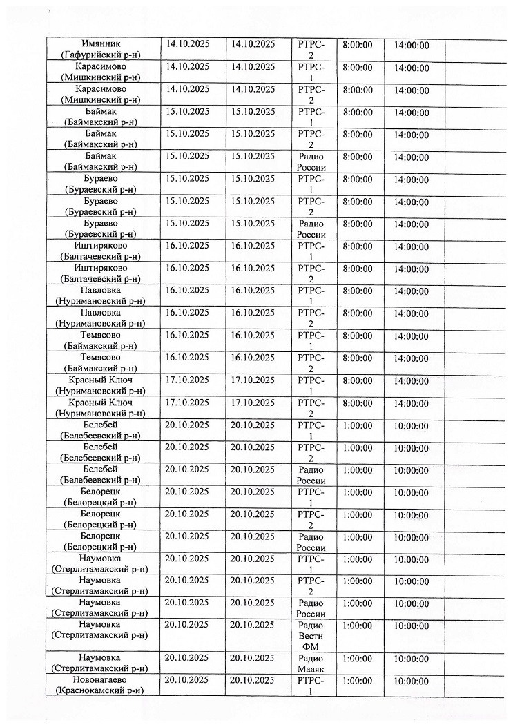
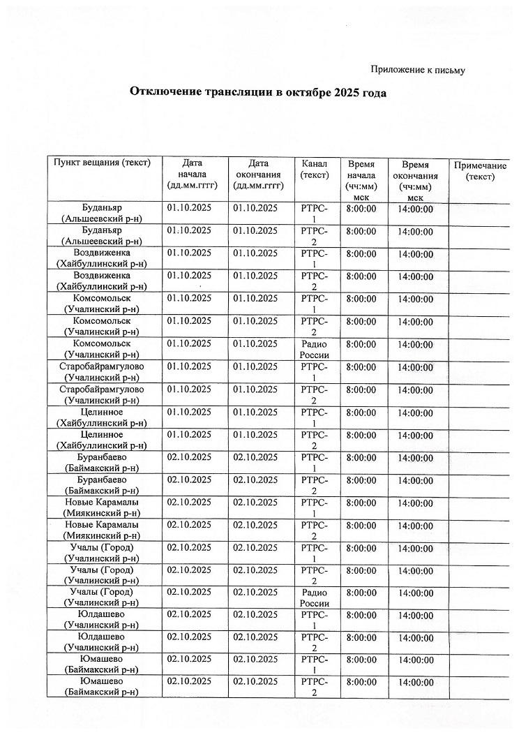
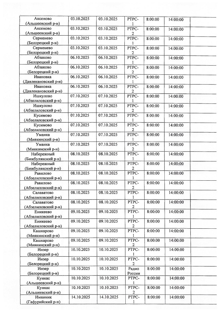
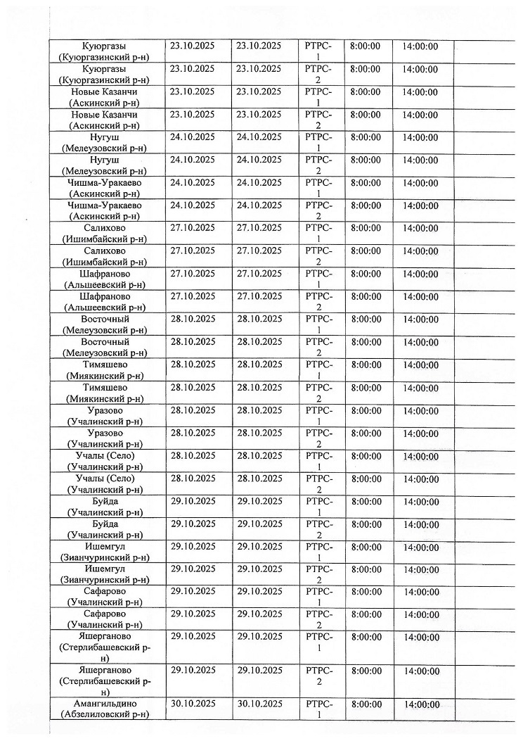
В течение октября в Башкирии будет отключаться теле- и радиовещание. Это связано с профилактическими работами, сообщает РТРС «РТПЦ РБ».

В каждом из населенных пунктов республике вещание будет приостановлено по графику (смотрите таблицу внизу — время московское). Продолжительность отключения составит семь часов.

Источник: resbash.ru

Фото: Евгений Соколов

В Башкирии временно прекратят телевещание
В Башкирии временно прекратят телевещание
В Башкирии временно прекратят телевещание
В Башкирии временно прекратят телевещание
В Башкирии временно прекратят телевещание
В Башкирии временно прекратят телевещание
В Башкирии временно прекратят телевещание
Автор:
Читайте нас